Introducing marimo pair
A canvas where agents and developers collaborate on research and data work; structured working memory and a reactive Python runtime for agents.
🏆 We're running a notebook competition with alphaXiv. Pick a paper, build a notebook, & win prizes 👀
A canvas where agents and developers collaborate on research and data work; structured working memory and a reactive Python runtime for agents.
Giving agents a notebook tool with marimo pair, a notebook competition, and more ...
marimo notebooks are reproducible Python programs. SkyPilot runs Python anywhere. Together, they take notebooks from laptop to cloud with zero rewrites.
Reactive Matplotlib selections, matrix inputs, rich PyTorch display, and more
PDF export, notebook galleries, JupyterHub extension, and more
We're hiring, v0.19.0, 2025, and 2026!
A refreshed UI, a new Developer Panel, pytest fixtures, and more
Announcing our new VS Code/Cursor extension
Bringing a native marimo experience to your favorite IDE
How marimo enables engineers and tax experts alike to work with data
We're joining CoreWeave to double down on open source and scale molab
How companies use marimo (and some big news)
A deep dive into adding MCP support for marimo
How marimo's pure Python file format and reusability as apps empowers engineers, MLEs, and radiologists
Towards a composable security data platform
Anthony Goldbloom (ex-Kaggle) explains how marimo enables best-in-class analytics

Making marimo better for humans and agents
Introducing "marimo check", a linter that enables agents and humans alike to write high-quality notebooks, pipelines, and apps with marimo
Why agentic coding tools like Claude Code work exceptionally well with marimo

Using LLMs to do data work (and a VS Code sneak peek)

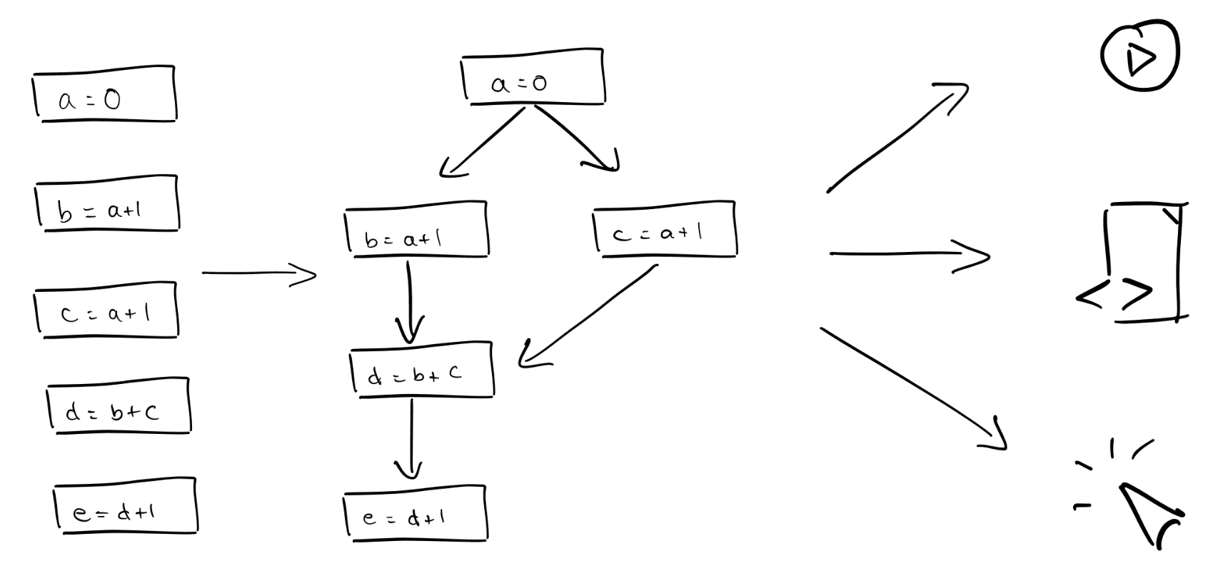
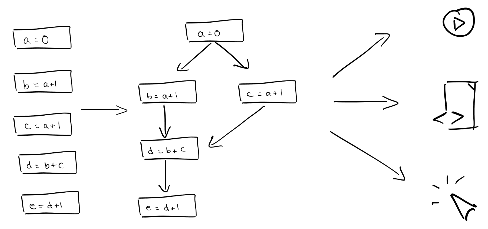
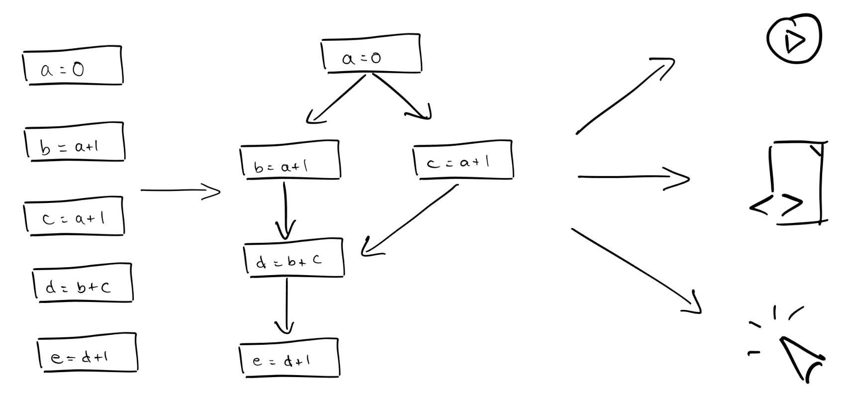
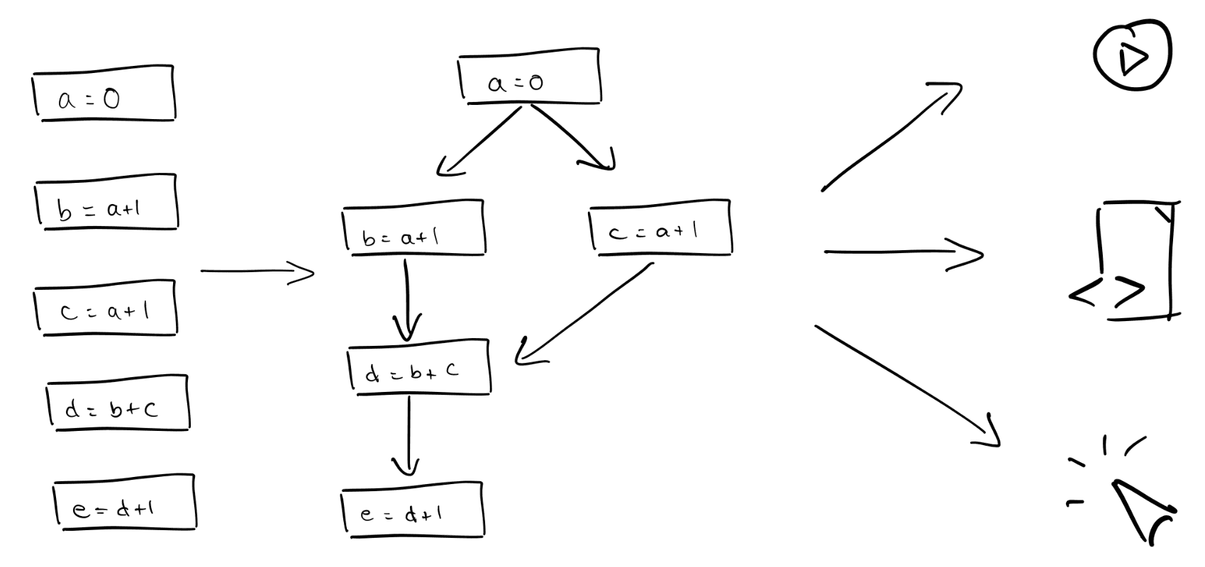
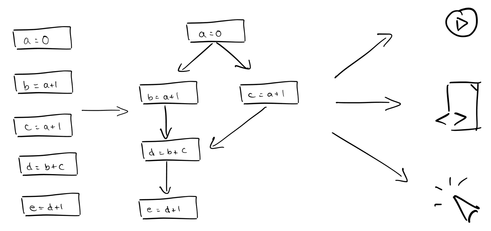
How and why marimo represents notebooks as dataflow graphs
Cloud-based notebooks for our community
Announcing molab, cloud-based shareable notebooks

Version 0.14.0 is out!
Find us at PyCon US (5/16)!

A big milestone, generate notebooks from prompts, and more
Embed marimo in blogs with marimo snippets
Designing a Python notebook that blends the best parts of interactive computing with the sanity of code
Announcing the marimo YouTube Channel
A step-by-step guide to publishing marimo notebooks using GitHub Pages for free.
Why Stanford scientists needed a new Python notebook

Enabling computational energy research at Stanford's SLAC National Accelerator Laboratory
Our vision for building a unified toolchain for working with data
Publish interactive notebooks on GitHub Pages!
Transforms your repository of notebooks into a collection of interactive data apps

We've raised a $5M seed, led by AIX Ventures.
Custom LLMs, multi-modal inputs, Generative UI, and more
Bringing reactivity to your data visualizations
Smart caching, package management, a chat interface, and community roundup
New AI integrations, a chatbot component, and smart caching
Sandboxed notebooks, and an improved AI assistant

How marimo enables sandboxed notebooks, reproducible down to the package environment

Announcing SQL cells and a plugin API
Standardizing the plugin API for marimo

DataFrame glow up, SQL support, and community highlights
Reading, new features, and community highlights
Designing a notebook that can be shared as an app, run as a script, versioned with git, and more
Bringing a whole new meaning to "serverless".
Announcing our online playground for marimo
A guide on how to deploy marimo applications with Docker
Our first newsletter
An open-source reactive notebook for Python